お知らせ情報
イベントやお得な情報をお届けします。
- JSS秋田スイミングスクールTOP>
- お知らせ>
- 10/26 ジュニアチャンピオンシップ タイムテーブル
お知らせ
2025/10/20お知らせ
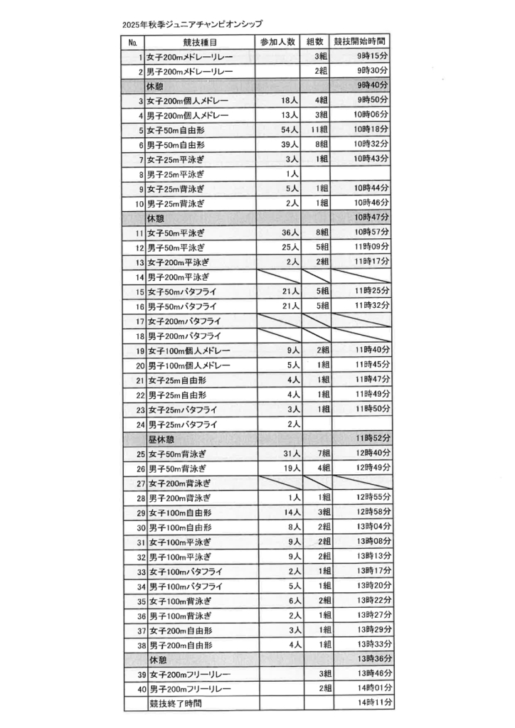
10/26 ジュニアチャンピオンシップ タイムテーブル
こんにちは
JSS秋田スイミングスクールです。
10月26日(日)に行われる
ジュニアチャンピオンシップのタイムテーブルを掲載致します。
当日会場へお越しになる場合は、時間をご確認いただき、お気をつけてお越しください。
進行については競技時間に則って進めていきます。