お知らせ情報

イベントやお得な情報をお届けします。

お知らせ

2025/12/14お知らせ

【選手コース】第34回栗林記念スイミングフェスティバル 参加の皆様へ

第34回栗林記念スイミングフェスティバル 参加の皆様は

2次要項の確認の程よろしくお願いいたします。

栗林記念 参加団体連絡事項(2025)

※画像もしくはPDFボタンをクリックいただくと詳細をご覧いただけます。

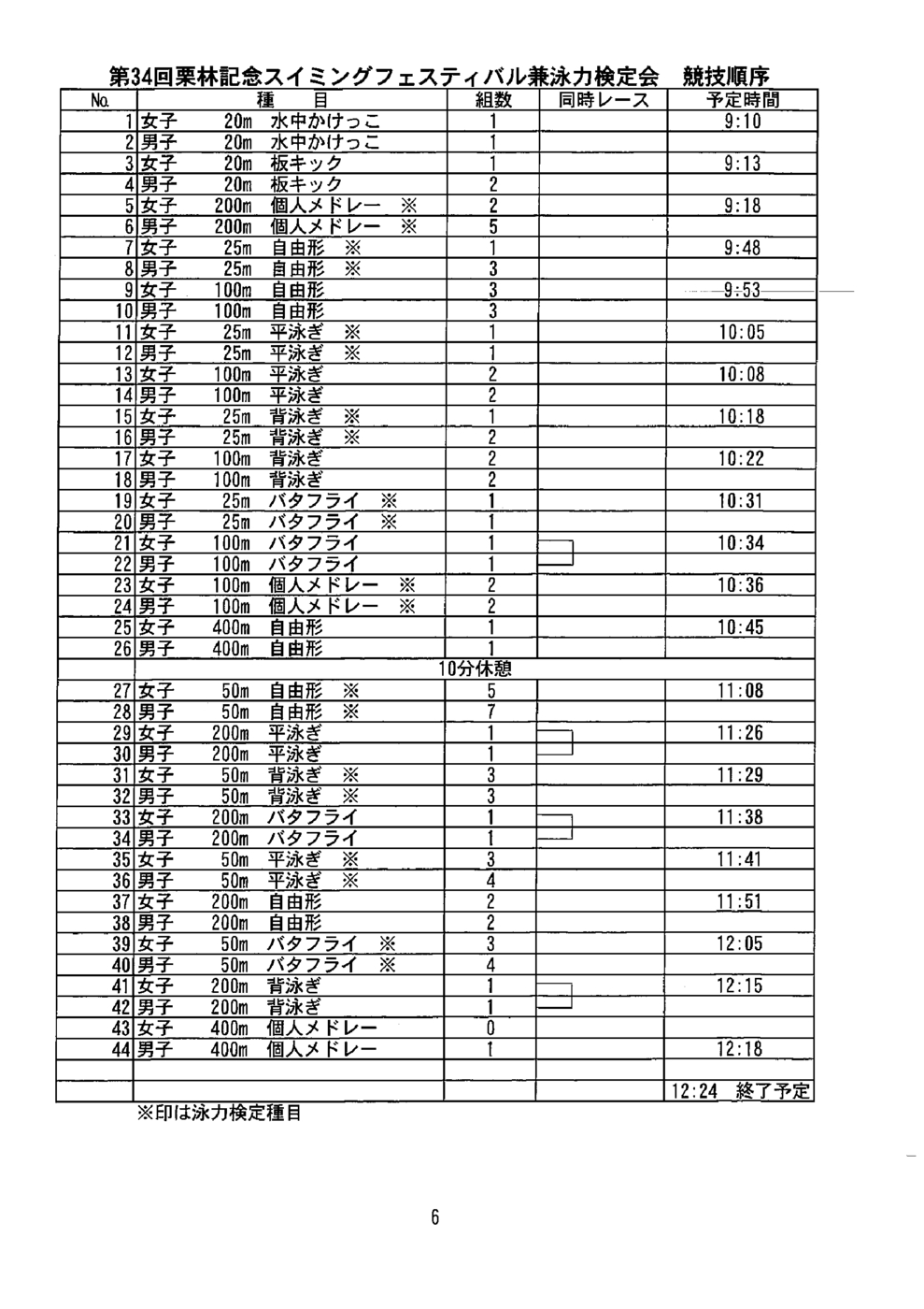
栗林記念 競技順序(2025)

※画像もしくはPDFボタンをクリックいただくと詳細をご覧いただけます。

栗林記念 会場案内図(2025)

※画像もしくはPDFボタンをクリックいただくと詳細をご覧いただけます。

アーカイブ

TOPへページTOPへ戻る